Исследование: какие вкусы жидкости для электронных сигарет помогают бросить курить
Успешность перехода на вейпинг с обычных сигарет сильно зависит от используемых вкусов жидкости. Такой вывод был сделан из американского исследования «Поведенческие схемы курения сигарет и вейпинга как функция вкусовых добавок ЭСДН», опубликованного в журнале Tobacco Control.
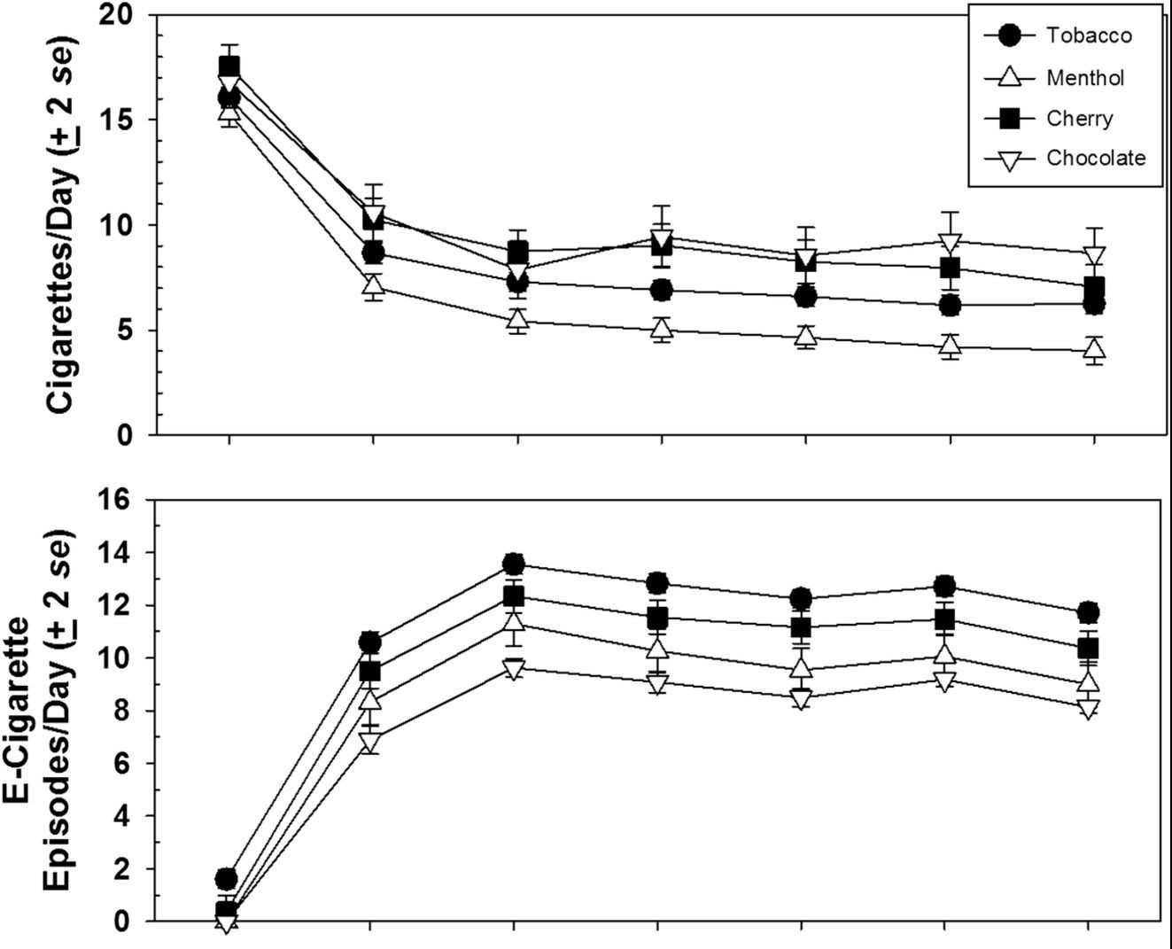
В работе исследовалось влияние ароматических добавок в жидкостях для электронных сигарет при переходе обычных курильщиков на вейпинг в течение 6 недель.
В исследовании принимало участие 88 курящих мужчин и женщин, никогда не имевших желание бросить вредную привычку, но согласившихся на замену обычных сигарет электронными. В начале были произведены оценки вкусовых предпочтений испытуемых на примере жидкостей с табаком, ментолом, вишней и шоколадом. После этого им предоставили электронные сигареты и жидкости с тем вкусом, который больше всего им понравился. Участники исследования ежедневно записывали свои ощущения.
Анализ результатов показал, что в течение 6 недель среднее количество выкуриваемых сигарет среди участников эксперимента снизилось с 16 до 7 штук в день. Положительный эффект, как оказалось, очень сильно зависел от используемого вкуса жидкости. Так, наилучшие показатели отказа оказались у тех, кто выбрал ментол, а меньше всего курильщикам помогли вкусы вишни и табака. Мало того, больше всего использовали ЭСДН те, кто выбрал табак и вишню в качестве своих вкусов, а меньше всего парили испытуемые с шоколадными жидкостями.
Вывод прост: успех отказа от сигарет с помощью вейпинга очень сильно зависит от используемых вкусов жидкости.
- Исследование было проведено учеными из университетов Коннектикута и профинансировано Национальным Институтом по исследованиям Злоупотреблением Наркотиков (NIDA), а также Национальными институтами здравоохранения США (NIH).
- В США власти часто критикуют вейпинг за разнообразие вкусовых добавок, которые привлекают молодежь и подталкивают их тем самым к курению обычных сигарет. Однако согласно Британскому центру по употреблению веществ, ЭСДН не приводит к табакокурению.
Источник: Tobacco Control
Опечатка — Ctrl + Enter10 октября 2016, 16:30

Комменты
Алексей Немчик
электронные системы доставки никотина
Nechto Choto
Что такое "ЭСДН" ?